GSoC 2021: end-of-summer report
Introduction
In this post I report my work during the Google Summer of Code (GSoC) 2021 program. During the summer I contributed to Volume 2 of the Probabilistic Machine Learning book by Kevin P. Murphy.
The GSoC 2021 TF/Pyprobml program was divided into in two Github repositories: a public repo probml/pyprobml where the final code was pushed and a private repo pyprobml/hermes where discussions and code reviews took place.
Highlights
- I spent 394.87 hours working on the project on the roughly 83 days of work;
- 75% of the time was spent writing code, the other 25% was spent on code reviews, meetings, and other non-code work;
- I spent around 32 hours per week on the project;
- I tackled 41 issues on the private repo (see The Summary for details);
- I created a total of 39 pull requests in the
probml/pyprobmlrepo (see The Summary for details); - I wrote a total of 6,165 lines of code;
- I learned about the Jax library for high-performance machine learning.
Main contributions
During GSoC 2021 I mostly worked on dynamical systems and their applications to Machine Learning. One of my initial tasks was to write code that implemented the classical linear dynamical systems’ algorithm to estimate the latent state from an observed state, namely, Kalman Filters. Although a relatively straightforward task, by the end of GSoC I was able to implement a state-space model for the Kalman Filter using the Jax library (See PR 591). I learned that there is (almost always) a faster way to write a loop using Jax.
![]() | ![]() | ![]() |
Furthermore, I learned about the extensions to linear dynamical systems to nonlinear systems using approximations such as the Extended Kalman Filter (EKF), the Unscented Kalman Filter (UKF), Rao-Blackwell Particle Filtering (RBPF), the Bootstrap Particle Filter (BPF), and the Exponential family EKF (EEKF). In the following images, I present examples of these algorithms.
![]() | ![]() |
![]() | ![]() |
![]() | ![]() |
An interesting application to dynamical systems in Machine Learning, and my most challenging issue this summer, was the implementation of the training loop of a Multilayer Perceptron (MLP) using the EKF and UKF algorithms. The goal of this task was to train an MLP on a single pass using the EKF and UKF algorithms. I learned that, from a dynamical system’s point of view, we can view the weights of the MLP as a latent (state) space and the result of the MLP as the observation (measurement) space. If we assume that the weights are static over time, we can use the EKF and UKF algorithms to estimate the weights of the MLP. The following is a video that shows the training loop of an MLP using the EKF algorithm.
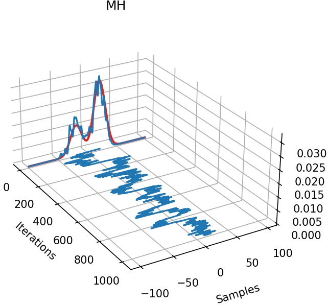
Finally, one of my favourite visual examples was the creation of a graph that illustrates the Markov Chain Monte Carlo (MCMC) sampling process using the Metropolis-Hastings algorithm. It is a succinct and elegant way to visualise the MCMC sampling process using different step sizes (see PR 483).

Temporal analysis
To measure my progress throughout the summer, I used the Toggl app to track the time spent on different tasks. The following is a summary of the time spent during the summer.
I worked an average of 6 hours per day on the project. Saturdays and Sundays were spent reading and studying papers and the relevant sections of PML Vol 2 book
My weekly commitment was around 32 hours on average. In the following table I show the total time spent on the project broken down by week. We see that on week 5 I took a small break from the project and on week 6 I started working on the project again.
| |
During the summer, I proposed myself to work between 30 and 40 hours per week. On the following graph I show the rolling-7 number of hours worked. I am happy to say that I was (moslty) able to achieve this goal.

During the summer I was able to tackle a total of 41 issues in the private issue tracker. The issues I worked on this summer had different levels of difficulty. At the beginning of the summer, most issues were tagged as Figures, but it was then decided to catalogue them according to an estimated level of difficulty. The following table shows the level of difficulty of the issues I worked on this summer and time time spent on each issue (see The summary section for more details).

Finally, I was able to complete 39 pull requests in the probml/pyprobml repository. I wrote a total of 6,165 lines of code. The following figure shows the number of lines of code per PR (see The summary section for more details).

Conclusion
GSoC 2021 was an incredible experience. I was able to work on a topic I am passionate about, and contribute to the open source community and to a project bigger than myself. I learned a lot from incredible people and I am looking forward to working with them in the future. I am grateful for my GSoC mentors Kevin P. Murphy and Mahmoud Soliman for their support through the whole process.
The Summary
In the following table, I present the pull requests (PRs) I created during the GSoC program. The PRs are ordered by date they were closed.
| url | title | additions |
|---|---|---|
| PR 78 | add gmm and data for old faithful | 423 |
| PR 81 | add gmms singularities diagram | 33 |
| PR 82 | add parzen-window2 example | 77 |
| PR 83 | add geom_ridge diagram | 58 |
| PR 476 | add gibbs_gauss_demo.py | 47 |
| PR 481 | Modify .gitignore, remove pycache | 112 |
| PR 482 | add kalman_tracking_demo.py | 347 |
| PR 483 | Add mcmc_gmm_demo.py | 163 |
| PR 486 | refactor plot_ellipse, refactor kalman_tracking_demo.py | 8 |
| PR 487 | add hmm_casino_demo.py, hmm_lib.py | 306 |
| PR 488 | Fixes extra space in mcmc_gmm_demo | 5 |
| PR 503 | Parallel Kalman Filtering and refactor | 301 |
| PR 502 | feat: create kalman_filter_spiral_demo.py | 68 |
| PR 501 | creates Extended Kalman Filter demo | 226 |
| PR 512 | Variational Mixture of Gaussians | 420 |
| PR 521 | Refactor kf/ukf/ekf and demos | 690 |
| PR 528 | Fix linear_dynamical_systems_lib.py | 4 |
| PR 541 | Rename dynamical systems libraries | 6 |
| PR 540 | create linreg_online_kalman_demo.py | 140 |
| PR 546 | Create mix_gauss_ml_vs_map.py | 191 |
| PR 547 | Refactor mix_gauss_demo_faithful.py | 93 |
| PR 548 | Create gpr_demo_marlik.py | 144 |
| PR 549 | Refactor nlds_lib.py | 65 |
| PR 552 | create EKF/UKF + MLP | 153 |
| PR 554 | Refactor nlds_lib and ekf_vs_ukf_mlp_demo | 46 |
| PR 553 | Create hmm_lillypad_demo | 132 |
| PR 575 | Fix UKF prior | 17 |
| PR 577 | EKF + MLP animation | 73 |
| PR 579 | Create condensation algorithm / bootstrap filter demo | 102 |
| PR 584 | Create rbpf_maneuver_demo.py | 351 |
| PR 587 | Create unigauss_vb_demo.py | 194 |
| PR 588 | refactor: linreg_eb_modelsel_vs_n.py | 71 |
| PR 590 | refactor lds_lib to use jax.lax.scan | 229 |
| PR 591 | Create LinearGaussianStateSpaceModel class | 382 |
| PR 592 | Fix lgssm_demo.py | 8 |
| PR 593 | fix nlds_lib.py | 49 |
| PR 596 | Create replica of 1d-pendulum from Särkkä’s | 138 |
| PR 597 | Create adf_logistic_regression_demo.py | 240 |
| PR 610 | Refactor: Move 3d-plots functions to pyprobml_utils | 53 |
In the following table, I present the issues I tackled in the probml/hermes repository, along with the time I spent on eah issue. The issues are order by creation date.
| issue_number | clocked_hours | title |
|---|---|---|
| 13 | 7.45583 | Convert unigaussVbDemo to python |
| 18 | 9.04167 | Convert mcmcGmmDemo to python |
| 20 | 2.04833 | Convert gibbsGaussDemo to python |
| 24 | 8.22806 | Convert linregOnlineDemoKalman to python |
| 31 | 6.67556 | Convert gprDemoMarglik to python |
| 37 | 7.98583 | Convert casinoDemo to python |
| 39 | 11.9569 | Convert kalmanTrackingDemo to python |
| 40 | 27.6747 | Convert rbpfManeuverDemo to python |
| 52 | 13.0525 | extended kalman filtering |
| 53 | 8.85444 | unscented kalman filtering |
| 54 | 38.6331 | EKF/UKF for online learning of an MLP |
| 61 | 3.96056 | Convert mixGaussMLvsMAP to python |
| 76 | 0.583889 | Add plot_ellipse function to pyprobml_utils.py |
| 77 | 2.86472 | fix kalman_tracking_demo |
| 79 | 12.5386 | make demo of parallel kalman filtering |
| 81 | 0.269444 | Create .gitignore file |
| 109 | 0.705 | Replace greek symbols in Kalman Filter Demo |
| 119 | 1.30833 | Make kalman_filter_spiral_demo |
| 146 | 1.33667 | fig small bug in dynamical_systems_lib.py |
| 148 | 0.378056 | Make kalman_filter_spiral_demo with limit cycle |
| 163 | 4.64083 | Organise files and classes of dynamical systems |
| 172 | 0.298333 | Refactor linear_dynamical_system_lib.py |
| 183 | 2.43583 | Refactor ExtendedKalmanFilter class (continuous) |
| 195 | 0.573889 | rename dynamical systems libraries |
| 215 | 10.8703 | apply particle filtering to a nonlinear 2d tracking problem |
| 216 | 0.881667 | refactor nlds_lib |
| 239 | 2.21444 | make HMM lilly pad example |
| 249 | 0.343056 | refactor GMM demo code |
| 251 | 3.22611 | debug bayesian model selection for linear regression |
| 254 | 1.34111 | Refactor nlds_lib and ekf_vs_ukf_mlp_demo (Stage 1) |
| 255 | 0.755 | Add demo that shows the training animation for UKF/EKF + MLP |
| 270 | 1.48861 | Refactor UKF in nlds_lib.py |
| 279 | 30.8075 | ADF for binary logistic regression |
| 299 | 18.1928 | online inference for the nonlinear 1d pendulum problem |
| 310 | 3.07194 | refactor lds_lib to use jax.scan |
| 311 | 15.6478 | refactor lds_lib to be compatible tfp.distributions |
| 318 | 3.80622 | rbpf_maneuver_demo example using vanilla PF |
| 326 | 1.31528 | Move 3d-plots functions to pyprobml_utils |
| 332 | 7.86444 | TFP tutorial to pyprobml-notebooks |
| 358 | 7.59111 | EEKF for logistic regression |
| 366 | 2.06111 | End of summer final report |







